| 品牌 | 金源 | 型号 | LHB | 材质 | 不锈钢 |
| 驱动方式 | 电动 | 原理 | 离心泵 | 性能 | 无泄露 |
| 泵轴位置 | 卧式 | 叶轮吸入方式 | 单吸式 | 适用范围 | 石油化工 |
| 产品别名 | 标准化工泵 | 流量 | 5-100(m3/h) | 扬程 | 160(m) |


温馨提示
产品价格、属性、图片仅供参考,详情务必旺旺或来电咨询。
不经协商下单者概不发货,如果给您带来不便还请谅解。谢谢!
**************************************************************************


一、LHB无泄露化工流程泵概述
LHB泄漏化工流程泵系我厂98年初,在引进国外离心泵最新技术的基础上,结合我厂多年生产经验,经过不断的完善改进而成。主要特点:机械密封采用负压装置,在压力不断增加而流量逐渐减少的情况下长期输送液体,机械密封不承受工作压力,确保机械密封永不泄漏,是建设文明工厂的理想设备。
二、LHB无泄露化工泵用途
制碱工业:纯碱和氨联碱生产的氨盐水母液,氯碱生产的常温苛性碱,氯产品和氯酸盐,次氯酸盐。
钢铁工业:电镀、酸洗、废酸处理。制酸工业:硝酸、硫酸、盐酸、磷酸、醋酸等。
有色冶金:电解铜镍的电解液,生产钴的酸雾液,生产锌的矿浆液,生产钒的钒酸氨,生的黄金的酸和硫脲液等的输送。
造纸工业:纸浆蒸煮液和漂白液的输送。
化肥工业:尿素、硝氨的生产。
石油化工:石油精炼乙醛,烷基苯的制造。
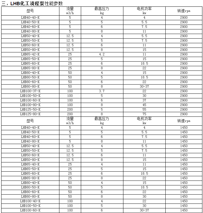
三,LHB化工流程泵性能参数




